Даний матеріал буде по суті адаптованим перекладом наукової статті під редакцією Аделаїди Алмейди, базованої на неінтервенційному дослідженні (DRKS-ID: DRKS00016632), проведеному Флоріан Вагенленер, Хорстом Лоренцом, Одою Евальд та Петером Герке у Німеччині*.
А ми ж власне перейдемо до суті.
D-маноза — це моносахарид, здатний після перорального прийому блокувати прикріплення бактерій до слизової оболонки сечового міхура. Кілька клінічних досліджень, проведених раніше уже підтвердили ефективність D-манози у профілактиці рецидивів ІСШ, а деякі — навіть її результативність при гострому лікуванні.
Недавнє неінтервенційне дослідження за участі жінок із гострим циститом показало хороші результати терапії D-манозою. Додатковий аналіз цих даних дозволив порівняти показники одужання при монотерапії D-манозою та при застосуванні антибіотиків. Висновок наразі такий: D-маноза — перспективна альтернатива антибіотикам при лікуванні гострих неускладнених ІСШ у жінок.
Щороку бактеріальні ІСШ вражають близько 150 мільйонів людей у світі. Хоча хвороба трапляється і в чоловіків, жінки хворіють значно частіше.
Цистит — це інфекція нижніх сечових шляхів. Якщо він розвивається у здорової жінки без структурних чи неврологічних патологій сечовидільної системи, його вважають гострим неускладненим циститом (AUC). Серед факторів ризику: жіноча стать, попередні ІСШ, статева активність, вагінальні інфекції, цукровий діабет, ожиріння, спадковість.

Основний збудник циститу — Escherichia coli (E. coli). Інші можливі причини: Klebsiella pneumoniae, Staphylococcus saprophyticus, Enterococcus faecalis, Proteus mirabilis, Pseudomonas aeruginosa та інші бактерії, а іноді й гриби Candida spp.
Антибіотики: стандарт і виклик резистентності
Міжнародні клінічні протоколи рекомендують застосовувати антибіотики як першу лінію терапії неускладненого циститу. Проте навіть за правильного лікування 20–30% жінок стикаються з повторним епізодом протягом 4–6 місяців.
Часте та емпіричне (без точного визначення збудника) призначення антибіотиків призводить до зростання кількості стійких штамів бактерій, а також негативно впливає на нормальну мікрофлору кишечника та піхви.
З огляду на це, пошук ефективних альтернатив антибіотикам стає особливо актуальним.
Щоб поширити інфекцію, бактерії мають закріпитися на клітинах слизової оболонки сечового міхура. Головна «зброя» E. coli — тонкі волокна (пілі) з білком FimH на кінці. Він здатен прикріплюватися до глікопротеїнів клітин, де кінцевою ланкою є молекули манози.

D-маноза, потрапляючи в сечовий міхур, «займає місце» для прикріплення, зв’язуючи FimH і не дозволяючи бактеріям закріпитися на епітелії. Збудники втрачають можливість утворювати біоплівки та виводяться з організму під час сечовипускання.
D-маноза показує потенціал вважатися не лише профілактичним засобом, а й ефективним компонентом гострої терапії при циститі. Це особливо важливо у час, коли резистентність до антибіотиків зростає, а пацієнти потребують безпечних і результативних методів лікування.
Її можна розглядати як перспективну немедикаментозну опцію, особливо для жінок із частими рецидивами.
Тут описане дослідження показує, що D-маноза може бути ефективною альтернативою або доповненням до антибіотиків при гострих епізодах неускладненого циститу.
Дослідження Флоріан Вагенленер та співавторів свідчить: у жінок з гострим циститом застосовували D-манозу 2 г тричі на день перші 3 дні, потім — двічі на день ще 2 дні.
Результат на 3-й день:
D-маноза як монотерапія - 85,7% пацієнток визнані вилікуваними.
D-маноза + антибіотики - 56,6%.
D-маноза + інші засоби (чай тощо) - 56,3%.
На 7-й день рівень одужання зрівнявся між групами (92,9% для монотерапії).
Відсутність симптомів була частіше саме при монотерапії D-манозою.
Побічні ефекти — легкі, переважно з боку ШКТ; частіше при комбінації з антибіотиками.
Цікаво, що клінічні показники одужання при застосуванні лише D-манози були співставні з ефективністю антибіотиків (як показують інші метааналізи), але без ризику антибіотикорезистентності.

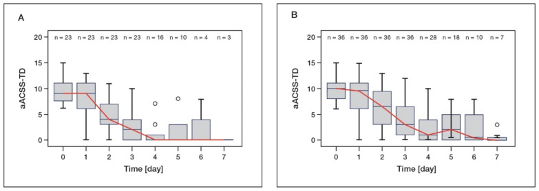
Медіана вирівняного значення ACSS «типового домену» (aACSS-TD) протягом 7 днів для пацієнтів, які отримували (A) монотерапію d-манозою або (B) d-манозу та інші заходи, крім антибіотиків.
Динаміка зменшення симптомів
Важливо не лише досягти клінічного одужання, але й оцінити, як швидко зникають симптоми — адже це напряму впливає на якість життя пацієнток.
Дослідники порівняли швидкість зменшення симптомів при лікуванні D-манозою та антибіотиками. Для цього проаналізували дані з різних досліджень, нормалізували шкали симптомів (максимальне значення прийняли за 100%) та оцінили, як змінювалися показники протягом лікування.
На старті (день 0) середній рівень симптомів був схожим у всіх групах: близько 46–56%.
На 3-й день — суттєве зниження до 10–25% у всіх групах, включно з D-манозою.
На 7–8 день — залишкові симптоми зберігалися лише у 0–12% випадків.
Особливо показово:
D-маноза як монотерапія: з 51,7% → до 5,6% на 4-й день.
D-маноза + інші неантибіотичні засоби: з 54,5% → до 13,9%.
Антибіотики: з 51% → до 8,2% на 4-й день.
Висновок: зменшення симптомів за перші 3–4 дні було однаково швидким і при D-манозі, і при антибіотиках.

Зміна симптомів протягом 1 тижня у пацієнтів, які отримували d-манозу, порівняно з медіанним балом симптомів у пацієнтів, які отримували антибіотики.
Ефективність: D-маноза як монотерапія показала рівень клінічного одужання, співставний із антибіотиками.
Швидкість дії: зменшення симптомів через 3 дні лікування практично ідентичне між D-манозою та антибіотиками.
Безпечність: побічні ефекти були рідкісними та легкими, переважно з боку шлунково-кишкового тракту, і значно менше ризику антибіотикорезистентності.
Висновок дослідників: D-маноза може стати безпечною та ефективною альтернативою антибіотикам при лікуванні гострого неускладненого циститу.
* Оригінальне, вже опубліковане неінтервенційне дослідження (DRKS-ID: DRKS00016632). Оригінал можна переглянути за посиланням.